Вопрос №1 Заряд, прошедший через поперечное сечение витка, сопротивление которого 0,03 Ом, при уменьшении магнитного потока внутри витка на 12 мВб за 1 секунду, равен
Ответы:
- A) 0,2 Кл.
- B) 400 Кл.
- C) 0,4 Кл.
- D) 4 Кл.
- E) 2 Кл.
Вопрос №2 Атомами какого из приведенных ниже элементов нужно заменить часть атомов Si (валентность 4) в кристаллической решетке, чтобы получить полупроводник с электронной проводимостью?
Ответы:
- A) Р (валентность 5)
- B) В (валентность 3)
- C) Ge (валентность 4)
- D) Ве (валентность 2)
- E) Среди указанных нет такого элемента
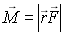
Вопрос №3 Угловая скорость вращающегося тела равна w, момент инерции I.Через какой промежуток времени тело остановится, если к нему приложить тормозящий момент силы М?
Ответы:
- A)

- B)

- C)

- D)

- E)

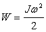
Вопрос №4 Как вычисляется работа тока на участке цепи:
Ответы:
- A)

- B)

- C)

- D)

- E)

Вопрос №5 Как зависит от температуры магнитная восприимчивость парамагнетика
Ответы:
- A) Обратно пропорциональна его термодинамической температуре
- B) Прямо пропорциональна его термодинамической температуре
- C) Обратно пропорциональна квадрату его термодинамической температуры
- D) Не зависит от температуры
- E) Прямо пропорционально квадрату его термодинамической температуры
Вопрос №6 Дифференциальное уравнение вынужденных электрических колебаний в контуре имеет вид... 
Ответы:
- A)

- B)

- C)

- D)

- E)

Вопрос №7 Тело совершает гармонические колебания с амплитудой 0,15 м и циклической частотой 8 рад/с. Максимальное значение модуля скорости
Ответы:
- A) 9,6 м/с.
- B) 0,02 м/с.
- C) 12 м/с.
- D) 0,5 м/с.
- E) 1,2 м/с.
Вопрос №8 Укажите формулу основного закона динамики вращательного движения.
Ответы:
- A)

- B)

- C)

- D)

- E)

Вопрос №9 Разность потенциалов между двумя пластинами равна 900 В. Какую скорость приобретает электрон, пролетев из состояния покоя путь, равный расстоянию между пластинами (е=1,610-19 Кл, m=9,110-31 кг)
Ответы:
- A) 1,8108 м/с.
- B) 1,8104 м/с.
- C) 1,8106 м/с.
- D) 1,8105 м/с.
- E) 1,8107 м/с.
Вопрос №10 Магнитные свойства вещества характеризует
Ответы:
- A) Вектор магнитной индукции.
- B) Вектор напряженности.
- C) Плотность вещества.
- D) Магнитная постоянная.
- E) Магнитная проницаемость среды.
Вопрос №11 Груз массой m поднимают из состояния покоя на высоту h с постоянным ускорением а. Определите работу силы, вызывающей перемещение.
Ответы:
- A)

- B)

- C)

- D)

- E)

Вопрос №12 Вода освещена красным светом, для которого длина волны в воздухе 0,7 мкм. Человек, открывший глаза под водой, видит
Ответы:
- A) синий цвет
- B) оранжевый цвет
- C) фиолетовый цвет
- D) красный цвет
- E) желтый цвет
Вопрос №13 Определите длину электромагнитной волны в воздухе, получаемой колебательным контуром емкостью С и индуктивностью L.
Ответы:
- A)

- B)

- C)

- D)

- E)

Вопрос №14 Если на проводник длиной 50 см, с током 2 А однородное магнитное поле с магнитной индукцией 0,1 Тл действует с силой 0,05 Н, то угол между направлением тока и вектором магнитной индукции.
Ответы:
- A)

- B) 0
- C)

- D)

- E)

Вопрос №15 Интерференционная картина от красного источника представляет собой чередование:
Ответы:
- A) красных полос с темными
- B) светло-красных полос с темно-красными
- C) белых полос с красными
- D) белых полос с темными
- E) в центре белая полоса, по обе стороны спектры
Вопрос №16 Закон Ампера
Ответы:
- A)
. - B) I=q0nS.
- C) Q=I2Rt.
- D) F=BI
sin. - E) A=IUt.
Вопрос №17 Рычаг укреплен на оси вращения, проходящей через точку О. На рычаг действует сила
, равная 10 Н, приложенная в точке А. Чтобы рычаг находился в равновесии, в точке В надо приложить силу

Ответы:
- A) 5 Н, в направлении 1.
- B) 10 Н, в направлении 2.
- C) 20 Н, в направлении 1.
- D) 5 Н, в направлении 2.
- E) 10 Н, в направлении 1.
Вопрос №18 Чему равна энергия магнитного поля соленоида, в котором при силе тока I=5 А возникает магнитный поток Ф=0,5 Вб
Ответы:
- A) 1,25 Дж
- B) 2,5 Дж
- C) 6,25 Дж
- D) 0,1 Дж
- E) 125 Дж
Вопрос №19 Если линейная скорость точек обода вращающегося диска 1 = 3 м/c, а точек, находящихся на расстоянии 10 см ближе к оси вращения, 2 = 2 м/c, то частота вращения диска
Ответы:
- A) » 0,56 об/с.
- B) » 3,58 об/с.
- C) » 4,55 об/с.
- D) » 1,59 об/с.
- E) » 2,57 об/с.
Вопрос №20 Если скорость движения молекул газа увеличится в 2 раза, то давление
Ответы:
- A) Не изменится.
- B) Уменьшится в 4 раза.
- C) Уменьшится в 2 раза.
- D) Увеличится в 2 раза.
- E) Увеличится в 4 раза.